Details about connection and installation of low beam headlights
Traffic regulations require that the vehicle is driven with daytime running lights (DRL) on during the day. This increases the visibility of the car on the road and leads to a reduction in accidents. As s lights can be used as standard lighting equipment car lights or you can install for this separate lighting devices. You can install running lights on your own, but you must follow certain rules.
Norms of installation of DRLs
The requirement to have DRLs is contained in the traffic regulations, and the technical parameters of the lights are regulated by two GOSTs - R 41.48-2004 and R 41.87-99. According to their requirements, there should be two lights, and their color of illumination is only white. Other characteristics should be within the limits:
- luminance 400...800 candela;
- the distance between the lights - no more than 60 cm;
- distance from the edge of the car - within 40 cm;
- horizontal angle of light beam opening - 20 degrees, vertical - 10 degrees;
- Installation height - 25...150 cm.
Paragraph 6.19 of GOST R 41.48-2004 states that HEADLIGHTS should start glowing when the ignition is turned on.
Important! Even if the lights DRLs fully comply with GOST requirements, but their installation is not provided by the standard construction of the car, after the installation of DRLs all changes must necessarily be registered in the traffic police.
Choice of connection scheme
There are different variants of connection schemes of DRLs. When choosing them, you need to consider your own qualification, compliance with the algorithm of the rules and GOSTs, as well as the convenience of access to the connection points.
The easiest option
The simplest connection diagram of DRLs looks as follows.

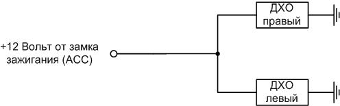
This option will require the installation of an additional switch that controls the DRL lights. When you turn on the ignition, you will need to manually turn on the lights, and when you turn off - just as manually turn them off. This is very inconvenient, you can forget to turn the lights on, or even worse - forget to turn them off. This will lead to battery discharge. In addition, the installation of an additional switch can cause damage to the interior of the car. Therefore it is better to take 12 volts not from the battery but through the ignition switch, from the + terminal..
The best option is if the ignition of your car has ACC position for powering the accessories. A wire with sufficient cross section is connected to this terminal and 12 volt voltage is present when the ignition is on (except for the starter time). In this case the switch may not be used.

The disadvantage of this circuit is that DRLs will be on when the other lights are on. It is possible to introduce an additional switch for manual extinguishing of the DRLs, but this scheme in terms of disadvantages is reduced to the previous one.
DRL power circuits in any connection scheme must be protected by a fuse for the appropriate current (not shown in the diagram for simplicity).
Video-master class for connecting DRLs on a Ford Focus.
How to make an automatic switching on sidelights
The best option - when the inclusion of daytime running lights occurs automatically without any action on the part of the driver. This can be done in a variety of ways.
Through the dipped beam or lights
To turn off the DRLs when the parking lights or dipped beam lamps are on, the following scheme can be used.

It is functional if:
- DRLs are built with low- or medium-power LEDs;
- incandescent lamp is used in the parking lights or dipped beam.
The current flowing through the serial circuit "two DRL-lights - clearance lamp" in this case is not enough to heat up the filament of the "Ilich bulb", but may be enough to ignite the LED elements. It should be borne in mind that The incandescent bulb limits the current in the circuitTherefore, the brightness of the LEDs may decrease.
When you apply voltage to the lamps of parking lights or dipped beam with a regular switch, the lamp will be 12 volts, the potential on both leads DRL equalized, and the running lights turn off.
From the alternator.
If there is no access to the ignition terminal, you can apply a circuit based on a reed switch. This device is a sealed contact sealed in a glass tube. When an external magnetic field appears, the contact closes. In this version, the reed switch controls the magnetic field of the generator, appearing when it works.

The contacts of the device are not designed to commutate large currents, so it must be switched through an intermediate relay.

In order for the scheme to work it is necessary to find such a position of the reed switch so that it is closed when the engine is running and the generator is working and to fix it in this point (for mechanical strength it is possible to tighten the magnetically sensitive device in a heat shrink).
As soon as the alternator starts running, its magnetic field will make the contacts close and energize the relay coil (you can use any four-pin automotive relay). The relay will close and energize the DRLs. When parking lights or dipped beam are turned on, the bulb will be energized and the DRLs will turn off.
| Reed switch type | Length, mm | Operating voltage, V | Switching current, mA |
|---|---|---|---|
| MCA-07101 | 7 | up to 24 | up to 100 |
| KEM-3 | 18 | up to 125 | up to 1000 with direct current |
| MCA-20101 | 20 | up to 180 DC | up to 500 |
| CEM-2 | 20 | up to 180 | up to 500 |
| CEM-1 | 50 | up to 300 | up to 2000 |
From relays
You can assemble the wiring diagrams of the sidelights with different car relays. They can be easily purchased at any parts store. Most relays are available as four-lead (with a make contact) or five-lead (with a change-over contact).
Relays can be used in other versions (not automotive) with an appropriate contact group, designed to operate from 12 volts. But car relays are convenient because of their accessibility, as well as protected version. They are enclosed in a plastic case that prevents water and dirt from getting inside.
4 pin.
This daytime running lights connection scheme through an electromagnetic relay also uses the signal from the parking lights or dipped beam.

In this scheme, voltage on the relay coil is present when the ignition key is turned on, and is absent when the lights or dipped beam are on. The advantage of this variant is compliance of the operation algorithm with GOST.
Video: Connection of parking lights through 2 relays for automatic operation (so as not to forget to turn on and off)
5 pin
The voltage from the oil pressure warning light can serve as a signal that the engine is running. In most cars, it goes out when there is lube pressure - the oil sensor contacts disconnect the bulb from the common wire.

Initially the oil pump doesn't work, the sensor contacts are closed, the light bulb is on, the voltage on the lower relay terminal in the diagram is zero, the relay is tightened. Its contacts are open, there is no voltage to the DRL lamp. When oil pressure appears, the sensor contacts open the electric circuit, the lamp goes out. The relay connected in parallel to the lamp is also de-energized. The contacts close and the DRLs begin to shine. When the lights or dipped beam are on, the DRLs go out.
The disadvantage of this scheme is that it does not comply with GOST. The lights here are lit only after the engine is started, and not when the ignition is turned on. Another problem is that the scheme does not work when LED emitters are used in the parking lights, not incandescent bulbs.
Lube oil pressure lamp wiring diagram may be different on different cars. Before starting the installation it is necessary to analyze the operation of the electrical equipment.
A clear video example of connection via a 5-pin relay.
Via control unit
Daytime running lights control units are commercially available. In addition to automatic switching on and off, they are in most cases equipped with additional service functions. The wiring diagram of industrial control units is indicated on their housing or in the accompanying documentation.
Also in the global network you can find a lot of homemade devices on common microcontrollers. The schematics and software of such devices are developed by the authors. If you want, you can ask them to change the firmware for specific needs.
There are other DRL connection diagrams (via speed sensor, etc.). They can be found on the Internet, but before starting the installation of such schemes should be analyzed for compliance with the algorithm of the GOSTs.
Read also: Making a DRLs controller
The process of installing sidelights on the car
You can install on the car as homemade DRLs, and lights of industrial production. In the latter case, it makes sense to purchase a ready-made kit for installing the lighting device.

What you need
For independent installation of daytime running lights, you will need tools:
- a set of screwdrivers;
- soldering iron with consumables;
- lighter or industrial hair dryer (for heat shrink tubing).
You will also need other small locksmith tools (pliers, wire cutters, etc.)
Materials required will include:
- nylon clamps (ties);
- heat shrink tubing (or electrical tape);
- self-tapping screws for fastening (there is an option of installation with double-sided adhesive tape, but this is less reliable);
- Several meters of double-core cable or wire.
As well as other electrical materials and accessories according to the chosen scheme.
Where to mount
According to the rules, the lights must be installed on the front panel of the car. The most convenient way to attach them:
- on the bumper (in place of regular fog lights or on the newly prepared seats);
- to the standard lighting system of the car;
- To cut them into the radiator grill.
In all cases the above mentioned dimensions and distances must be observed.
After selecting the installation site, the mounting points must be prepared. This mainly includes cleaning the mounting location from dirt, but if the lights are installed on the radiator grille or bumper, you must cut holes to the size of the DRLs.
If the lights come with metal clamps for installation, the place must be prepared for them. After the mechanical attachment of the lights, you can lay the wires, fasten them with ties and mount the control circuit in any convenient place.
One way of installation is described in the video.
Connection nuances
There is a strong view that when connecting LED lights should always use stabilizerOtherwise the service life of LED-lights will decrease. This question is controversial and debatable. But if you want you can install such devices. They plugged in the gap of the power wire LEDS.

With a basic knowledge of electrical engineering and having a minimum of locksmith skills, you can install the daytime running lights yourself. The main thing is to comply with the requirements of GOST. Otherwise, problems with registration of changes in the traffic police will not be avoided.

